Definiciones Básicas

Espectroscopía

Es una técnica analítica que estudia la interacción entre la radiación electromagnética y la materia. Se utiliza para identificar y cuantificar sustancias en función de cómo absorben, emiten o dispersan la luz.

Espectro Electromagnético

Es la gama completa de radiaciones electromagnéticas ordenadas según su longitud de onda o frecuencia. Las técnicas espectroscópicas trabajan en diferentes regiones, como:

  • UV-Visible (200-700 nm) → Transiciones electrónicas.

  • Infrarrojo (700 nm - 1 mm) → Vibraciones moleculares.

  • Raman→ Dispersión de luz inducida por vibraciones moleculares.

  • Fluorescencia → Emisión de luz tras excitación.

Análisis Cualitativo por Espectroscopía

Consiste en identificar las especies presentes en una muestra según sus espectros característicos. Cada sustancia tiene un "patrón" de absorción o emisión que funciona como una "huella espectral".

Análisis Cuantitativo por Espectroscopía

Permite determinar la concentración de una sustancia en una muestra a partir de la cantidad de luz absorbida, según la Ley de Beer-Lambert.





Principios Básicos de la Espectroscopía

Interacción Luz-Materia

Cuando la radiación incide sobre una muestra, pueden ocurrir varios procesos:

  • Absorción: La energía de la luz es absorbida por la materia, causando transiciones electrónicas o vibracionales.

  • Emisión:La materia libera energía en forma de luz cuando los electrones regresan a su estado base.

  • Dispersión:Parte de la luz cambia de dirección (usado en espectroscopía Raman).

  • Reflexión y Transmisión:Una parte de la luz atraviesa la muestra o se refleja en su superficie.

Ley de Beer-Lambert (Cuantificación)

La absorbancia (AA) de una muestra es directamente proporcional a su concentración (cc):

Ley de Beer-Lambert


Tipos de Transiciones Electrónicas

En espectroscopía UV-Visible, la absorción ocurre cuando un electrón pasa de un estado de menor energía a uno de mayor energía:



Transiciones Electrónicas


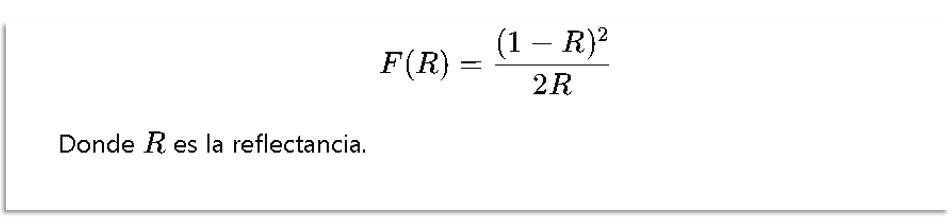
Reflectancia Difusa (Para Sólidos)

Para muestras sólidas opacas o en polvo, se usa la reflectancia difusa en lugar de la absorbancia. Los datos se transforman en absorbancia aparente usando la Transformada de Kubelka-Munk:



Reflectancia Difusa




Aplicaciones en Nanotecnología

La espectroscopía se usa para caracterizar nanomateriales, por ejemplo:

  • Nanopartículas metálicas: La espectroscopía UV-Vis detecta los plasmones de superficie.

  • Quantum dots: Se estudian por fluorescencia debido a su emisión característica.

  • Nanotubos de carbono y grafeno:Se analizan con espectroscopía Raman e Infrarroja.